Transient Conduction in Halfspace: Robin Problem

M.M. Yovanovich

HSROBIN.MWS

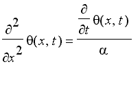
One-dimensional conduction in halfspace. The equation is [Maple Math] in the halfspace [Maple Math] for time [Maple Math] .

The initial condition is uniform temperature throughout the halfspace, [Maple Math] . The boundary conditions are (i) as

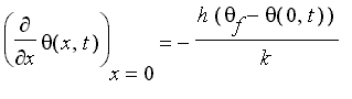
[Maple Math] , [Maple Math] , and at the free surface [Maple Math] , the condition must be satisfied [Maple Math] where [Maple Math] . The solution is found by means of Laplace Transform methods. The solution is

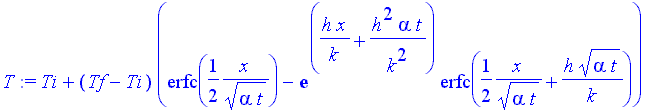
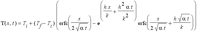
[Maple Math]

> restart:

> case1:= (Ti=300, Tf = 350, k=20, alpha=20e-6, h=100);

[Maple Math]

Solution for Robin condition.

> T:= Ti + (Tf-Ti)*(erfc(x/(2*sqrt(alpha*t))) - exp(h*x/k + h^2*alpha*t/k^2)*erfc(x/(2*sqrt(alpha*t)) + h*sqrt(alpha*t)/k));

[Maple Math]

Instantaneous surface temperature rise.

> T0:= subs(x=0, T);

[Maple Math]

Instantaneous surface heat flux.

> q0:= subs(x=0, -k*diff(T,x));

[Maple Math]

Temperature rise for a particular problem.

> T1:= subs(case1, T);

[Maple Math]

For case 1, temperature can be calculated for any position [Maple Math] given the time, or the time can be calculated given the position [Maple Math] and the temperature. Numerical solutions are required.

> evalf(subs(x=0/1000, t=300, T1), 6);

[Maple Math]

> time1:= fsolve(simplify(subs(x=10/1000, T1)) = 330, t, 0..3000);

[Maple Math]

>