Transient Conduction in Plates

M.M. Yovanovich

PLDF1.MWS

Transient conduction in plates.

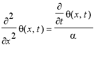
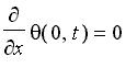
The governing equation is [Maple Math]

for all time [Maple Math] in the interval [Maple Math] to [Maple Math] .

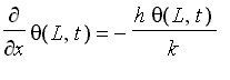
The initial condition is [Maple Math] and the boundary conditions are [Maple Math] and [Maple Math] where [Maple Math] . is the instantaneous local temperature excess.

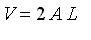
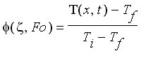
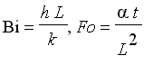
The input parameters are [Maple Math] and [Maple Math] . The output parameters are the dimensionless temperature excess [Maple Math] and the heat loss fraction [Maple Math] where [Maple Math] is the initial internal energy of the plate. The volume of the plate is [Maple Math] .

The maximum number of terms in the series should be set to a small number such as [Maple Math] . For very small dimensionless time, it may be necessary to increase the maximum

number of terms to achieve three or four digit accuracy.

> restart:

> Nmax:= 3:

> plate:= (Bi = 1.8, Fo = 0.5, zeta = 0.3);

[Maple Math]

> ce:= x*sin(x) - Bi*cos(x) = 0:

> A:= 2*sin(x)/(x + sin(x)*cos(x)):

> B:= A*sin(x)/x:

> phi:= A*exp(-x^2*Fo)*cos(x*zeta):

> Q_Qi:= B*exp(-x^2*Fo):

Calculations

> xvals:= [seq(fsolve(subs(plate, ce), x = j*Pi..(j + 1/2)*Pi), j = 0..Nmax)]:

> As:= evalf([seq(subs(x = xvals[j], A), j = 1..Nmax)]):

> Bs:= evalf([seq(subs(x = xvals[j], B), j = 1..Nmax)]):

> phis:= [evalf(seq(subs(plate, x = xvals[j], phi), j = 1..Nmax))]:

> Q_Qis:= [evalf(seq(subs(plate, x = xvals[j], Q_Qi), j = 1..Nmax))]:

> plate_temp:= evalf(add(phis[j], j = 1..Nmax), 6):

> plate_heat_loss:= evalf(1 - add(Q_Qis[j], j = 1..Nmax), 6):

Summary of input and output parameters.

> Nmax:= Nmax; plate; phi_plate:= plate_temp;
Q_Qi_plate:= plate_heat_loss;

[Maple Math]

[Maple Math]

[Maple Math]

[Maple Math]

>