Maple Tutorial 12:
Ordinary Differential Equations

M.M. Yovanovich

TUTORIAL12.MWS

Some important ordinary differential equations for science and engineering applications.

> restart: with(DEtools):

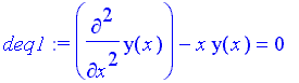
Airy Equation.

> deq1:= diff(y(x) ,x,x) - x*y(x) = 0;

[Maple Math]

> sol1:= dsolve(deq1, y(x));

[Maple Math]

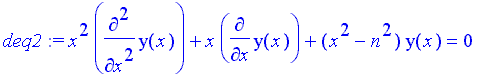
Bessel Equation with parameter n.

> deq2:= x^2*diff(y(x),x,x) + x*diff(y(x),x) + (x^2-n^2)*y(x) = 0;

[Maple Math]

> sol2:= dsolve(deq2, y(x));

[Maple Math]

Bessel Equation with parameter n = 0 and 1.

> deq20:= subs(n = 0, deq2);

[Maple Math]

> sol20:= dsolve(deq20, y(x));

[Maple Math]

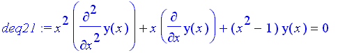
> deq21:= subs(n = 1, deq2);

[Maple Math]

> sol21:= dsolve(deq21, y(x));

[Maple Math]

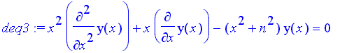
Modified Bessel Equation with parameter n.

> deq3:= x^2*diff(y(x),x,x) + x*diff(y(x),x) - (x^2 + n^2)*y(x) = 0;

[Maple Math]

> sol3:= dsolve(deq3, y(x));

[Maple Math]

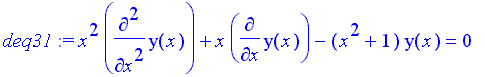
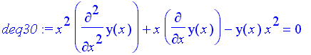
Modified Bessel Equation with parameter n = 0 and 1.

> deq30:= subs(n = 0, deq3);

[Maple Math]

> sol30:= dsolve(deq30, y(x));

[Maple Math]

> deq31:= subs(n = 1, deq3);

[Maple Math]

> sol31:= dsolve(deq31, y(x));

[Maple Math]

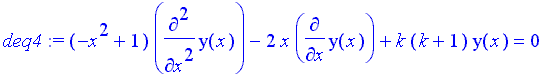
Legendre's Equation.

> deq4:= (1-x^2)*diff(y(x), x,x) - 2*x*diff(y(x),x) + k*(k+ 1)*y(x) = 0;

[Maple Math]

> sol4:= dsolve(deq4, y(x)):

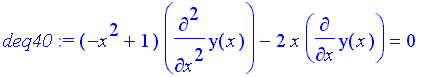
Maple returns a complex expression. Lets examine some special cases: k = 0, 1, 2.

> deq40:= subs(k = 0, deq4);

[Maple Math]

> sol40:= dsolve(deq40, y(x));

[Maple Math]

> deq41:= subs(k = 1, deq4);

[Maple Math]

> sol41:= dsolve(deq41, y(x));

[Maple Math]

> deq42:= subs(k = 2, deq4);

[Maple Math]

> sol42:= dsolve(deq42, y(x));

[Maple Math]