Maple Tutorial 13:
Bessel's Equations

M.M. Yovanovich

TUTORIAL13.MWS

Bessel's Equations are some of the most important ordinary differential equations for science and

engineering applications.

> restart:

> with(DEtools):

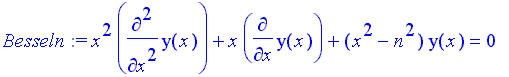
Bessel Equation with parameter n.

> Besseln:= x^2*diff(y(x), x,x) + x*diff(y(x), x) + (x^2 - n^2)*y(x) = 0;

[Maple Math]

> solBesseln:= dsolve(Besseln, y(x));

[Maple Math]

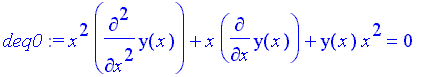
Bessel Equations with parameters n = 0 and n = 1.

> deq0:= subs(n = 0, Besseln);

[Maple Math]

> sol0:= dsolve(deq0, y(x));

[Maple Math]

> deq1:= subs(n = 1, Besseln);

[Maple Math]

> sol1:= dsolve(deq1, y(x));

[Maple Math]

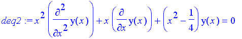
Bessel Equation with parameter n = 1/2.

> deq2:= subs(n = 1/2, Besseln);

[Maple Math]

> sol2:= dsolve(deq2, y(x));

[Maple Math]

Modified Bessel Equations with parameter n.

> modBesseln:= x^2*diff(y(x), x,x) + x*diff(y(x), x) - (x^2 + n^2)*y(x) = 0;

[Maple Math]

> solmodBesseln:= dsolve(modBesseln, y(x));

[Maple Math]

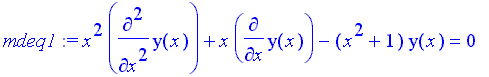
Modified Bessel Equations with parameters n = 0 and n = 1.

> mdeq0:= subs(n = 0, modBesseln);

[Maple Math]

> solm0:= dsolve(mdeq0, y(x));

[Maple Math]

> mdeq1:= subs(n = 1, modBesseln);

[Maple Math]

> solm1:= dsolve(mdeq1, y(x));

[Maple Math]

Modified Bessel Equation with parameter n = 1/2.

> deqm2:= subs(n = 1/2, modBesseln);

[Maple Math]

> solm2:= dsolve(deqm2, y(x));

[Maple Math]

This is an unusal way to represent the solution. Maple is confused. The solution should contain both hyperbolic

cosine and sine as shown below.

> solm2:= _C1*sinh(x)/sqrt(x) + _C2*cosh(x)/sqrt(x);

[Maple Math]

General Modified Bessel Equation with parameters [Maple Math] .

> genBesselEqn:= x^2*diff(y(x),x,x) + (1 - 2*alpha)*x*diff(y(x), x) +
(beta^2*gamma^2*x^(2*gamma) + (alpha^2 - n^2*gamma^2))*y(x) = 0;

[Maple Math]
[Maple Math]

> solgen:= dsolve(genBesselEqn, y(x));

[Maple Math]
[Maple Math]

The general modified Bessel equation and its solution reduce to numerous special cases.

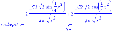
> deqn1:= 4*x^2*diff(y(x),x,x) + 8*x*diff(y(x),x) + (x^4 - 3)*y(x) = 0;

[Maple Math]

> soldeqn1:= dsolve(deqn1, y(x));

[Maple Math]

The solution can also be written in the following form.

> soldeqn1:= x^(-1/2)*(_C1*BesselJ(1/2, x^2/4) + _C2*BesselJ(-1/2, x^2/4));

[Maple Math]

> simplify(%);

[Maple Math]

Maple has returned the same solution. The factors can be absorbed by the constants of integration.

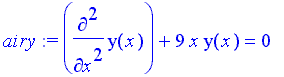
Airy Equation.

> airy:= diff(y(x),x,x) + 9*x*y(x) = 0;

[Maple Math]

> solairy:= dsolve(airy, y(x));

[Maple Math]

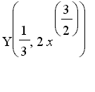
The solution of the Airy equation can be written in the following form.

> solairy:= x^(1/2)*(_C1*BesselJ(1/3, 2*x^(3/2)) + _C2*BesselJ(-1/3, 2*x^(3/2)));

[Maple Math]

Maple has used [Maple Math] as the second solution.