ME 354 Thermodynamics 2 Go to first page in the file Go to the last page in the file Go to previous page in the file Go to the next page in the file Go to the home page
Filename: Problem 10: 12-11
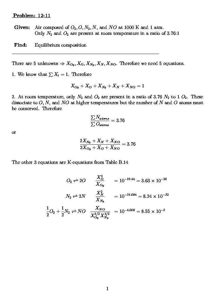
Page: 1 of: 2